1/ Objectifs d’un indicateur spatial d’accés aux services bancaires
Construire un indicateur spatial d’accès aux services bancaires est d’une utilité croissante face à la restructuration des agences bancaires et des points d’accès aux espèces en France induite par le développement de la banque en ligne. L’accès aux services bancaires se définit comme la facilité pour le public d’accéder aux services bancaires de toute sorte (notamment les conseils d’épargne ou le crédit et les prêts), au retrait d’espèces ou à des services de paiement par carte au sein d’un territoire et au cours d’une période donnée. La population considérée du territoire est celle des consommateurs et des particuliers, c'est-à-dire d'une partie seulement des utilisateurs des services bancaires. De plus, l’indicateur que nous proposons intègre uniquement la dimension offre des services bancaires et financiers, et non l’usage qui en est fait, c’est-à-dire la dimension demande.
En outre, ce qui compte pour mesurer l’accès, c’est d’une part la possibilité d’accèder ou non à un service bancaire et financier et d’autre part, la plus ou moins grande facilité de cet accès. Par ailleurs, si par la suite l’ambition est d’analyser les déterminants ou les conséquences de l’accès des services bancaires et financiers, un indicateur mélangeant offre et demande dans une même mesure est extrêmement complexe à étudier.
Il est à noter que nous nous concentrons sur l’accès physique aux infrastructures bancaires et financières, et ne prenons pas en compte l’accès à distance aux services bancaires à travers Internet et les réseaux mobiles.
2/ La mesure spatiale de l’accès aux services bancaires
Du fait de la définition spatiale de l’accès, il y a deux dimensions à prendre en compte pour étudier l’accès aux équipements bancaires et financiers pour un territoire donné. La première est celle de la présence sur le territoire de l’équipement considéré. C’est la dimension la plus simple, il s’agit de savoir si le territoire en question est doté par exemple d’une agence bancaire. Pour autant, elle est peu pertinente car très peu discriminante. Un simple constat empirique indique qu’au niveau des communes françaises, une très large part de ces unités géographiques ne possède pas d’équipement bancaire et financier.
La seconde dimension, complémentaire à la première, est celle de la distance entre un territoire donné et les territoires qui l’entourent et où l’infrastructure bancaire et financière serait présente. En effet, les consommateurs sont mobiles et peuvent accéder à des services bancaires et financiers dans des territoires voisins. Dans ce cas, il est pertinent d’intégrer à notre mesure à la fois la présence de services dans les territoires alentours et la distance entre ces services éventuels et le territoire étudié.
En conséquence de quoi, l’indicateur pour un territoire doit prendre en compte simultanément la présence des équipements dans le territoire, mais également l’accès aux équipements dans les territoires voisins au travers de la distance á parcourir entre les deux. PAr ailleurs, cette notion de territoire voisin ne doit pas reposer sur la contiguité des territoires mais sur une distance que les populations seraient prêtes à couvrir pour accèder à un équipement bancaire.
Plus simplement, notre indicateur ne doit pas être uniquement une mesure de la présence au sein d’un territoire donné de l’un ou l’autre des services, il doit également intégrer l’infrastructure dans son voisinage, ainsi que la distance à cette infrastructure. Par ailleurs, comme il est calculé pour un territoire donné et non pour des individus, les distances prises en compte sont les distances entre les territoires.
3/ Méthode de construction de l’indicateur
Compte tenu de l’ensemble des critères et conditions de construction que nous avons définis précédemment, notre indicateur peut être présenté de la manière formelle avant d’être explicité.
3.1/ Présentation formelle
Une première version simple de l'indicateur est définie ainsi où ISIBF_i est l’indicateur d’accès aux services bancaires pour un territoire donné i, J est le nombre total de territoires j à proximité du territoire étudié plus le territoire étudié, α est un paramètre de poids de la distance, SBF_j le nombre de services bancaires et financiers dans le territoire i et dans chacun des j territoires situés à proximité, d_(i,j) est la distance entre le territoire étudié i et chacun des j territoires situés à proximité, et γ un paramètre de détermination du radiant (la distance) délimitant les territoires j autour du territoire étudié i qui sont pris en compte dans la mesure. Dit autrement, γ détermine J et les territoires j intégré au calcul en plus de i. L’élément à droite de l’expression est simplement la condition de distance pour prendre en compte le territoire voisin j dans le calcul: que sa distance à i (le territoire pour lequel on mesure l'accès) soit inférieure à la distance maximum γ. La distance peut être calculée de beaucoup de manières différentes. Par exemple, la version la plus simple serait la distance à vol d'oiseau entre le centroïde du territoire i et les centroïdes des territoires alentours.
3.2/ Explicitation
Plusieurs éléments de la formule doivent être explicités pour une meilleure compréhension de l’indicateur.
-
Nous prenons en compte le logarithme de base deux du nombre de services bancaires et financiers plutôt que le nombre brut afin d’intégrer la décroissance du bénéfice d’un équipement supplémentaire pour les habitants. En effet, pour un consommateur la présence d’équipements bancaires et financiers supplémentaires est de moins en moins intéressante au fur et à mesure de leur accumulation. En d’autres termes, la présence d’un premier équipement a plus d’importance, d’utilité, pour un habitant, que le deuxième qui a plus d’importance que le troisième, et ainsi de suite. Le fait d’ajouter une unité au nombre de services bancaires et financiers permet de traiter le cas des territoires où SBF_j=0 dont le log_2 est indéterminé.
-
D’une semblable manière, le paramètre α de notre score permet d’introduire un effet non linéaire de la distance. Pour les équipements situés dans le territoire, donc pour lesquels d_(i,j)=d_(i,i)=0, le numérateur de la fraction est égal à 1 quelle que soit la valeur de α. La distance n’a alors logiquement aucun effet sur la prise en compte des services localisés dans le territoire étudié.
Dès que d_(i,j)>0, c’est-à-dire dès qu’on considère les équipements dans les territoires voisins du territoire pour lequel on calcule l’indicateur, la présence d’équipements doit avoir moins d’effet sur l’accès que les équipements du territoire étudié, car la distance rend mécaniquement l’accès plus difficile et contraignant, ie plus couteux pour les populations.
Il est à noter que les populations peuvent se partager les mêmes équipements bancaires. Dit autrement, nous n'assignons pas un équipement, un territoire à un autre territoire. Un territoire, et donc ses équipements, est nécessairement pris en compte pour le calcul de l'indicateur de tous les autres territoires pour lesquels il se situe à une distance inférieure à d. L'explication est qu'on ne connait pas l'usage des populations et qu'a priori on ne peut pas regrouper discrétionnairement les territoires ensemble. -
De plus, l’effet moindre des équipements voisins doit être de plus en plus faible avec l’augmentation de la distance entre le territoire étudié et ces territoires voisins. Le numérateur de la formule permet alors de prendre en compte l’impact réducteur de la distance sur la valeur de l’indicateur. De plus, la valeur de α permet de prendre en compte un impact décroissant avec la distance des équipements voisins.
-
Ainsi, α peut prendre n’importe quelle valeur supérieure à 1. Pour la valeur 1, la distance n’a pas d’effet, c’est-à-dire que les équipements des territoires voisins auront tous le même poids peu importe leur distance. Au fur et à mesure de l’augmentation de α, la différence d’impact sur le score entre les plus proches et les plus éloignés se creuse. Enfin, comme il s’agit d’une puissance, l’effet de la distance n’est pas linéaire, et la valeur de α permet de faire varier l’intensité de l’impact de la distance .
-
Enfin, le dernier paramètre de notre indicateur est γ, le plus simple. Puisque nous prenons en compte les équipements des territoires voisins, il faut, à la fois pour une raison d’économie computationnelle et pour une raison théorique, choisir quels territoires voisins inclure dans la mesure. En d’autres termes, nous déterminons un radian autour du territoire étudié dans lequel nous prenons à la fois les q́uipements présents et leur distance. γ correspond alors tout simplement à cette distance définissant un cercle autour du territoire étudié. Nous verrons par la suite que cette distance peut être prise en compte en km ou en temps de trajet.
L'indicateur repose sur deux hypothèses simplificatrices. Premièrement, on peut considèrer pour simplifier les calculs et limiter la collecte d'information que les équipements bancaires se situent au centroïde des territoires. Deuxièmement, on suppose également que la population utilisatrice est concentrée autour des centroïdes des territoires afin de ne conserver qu'une seule distance par territoire qui s'applique à l'ensemble de la population. Bien évidemment, plus les territoires étudiés sont petites, comme les communes françaises par exemple, et plus ces hypothèses sont acceptables. Inversement, plus les territoires sont grands et peuplés, et moins elles sont raisonnables. Par exemple, appliquer notre indicateur aux régions françaises n'a aucun sens.
4/ Illustrations
4.1/ Un exemple simple
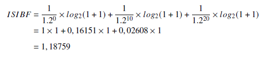
Nous pouvons prendre un exemple pour faciliter la compréhension de notre indicateur d’accès aux services bancaires. Comme illustration, imaginons un exemple théorique fictif caractérisé par les éléments suivants. Nous cherchons à calculer l’ISIBF d’une ville hypothétique,
-
cette ville a un seul équipement bancaire ou financier ;
-
il y a deux villes dans le périmètre d’étude qui ont un équipement bancaire chacune ;
-
la première ville se situe à 10 km ;
-
la seconde ville se situe à 20 km.
En conséquence, l’indicateur pour la ville considérée est donc, avec α=1.2 choisi de manière discrétionnaire (nous verrons par la suite l'incidence du choix de α sur le résultat).

Cet exemple illustre bien l’impact différent des équipements situés dans le territoire étudié, ici il compte pour 1, et ceux situés alentour qui comptent pour 0,16151 pour la ville la plus proche, et 0,02608 pour la commune la plus éloignée.
4.2/ Trois idéaux-types de territoire
Poussons un peu plus loin l’illustration avec trois idéaux-types de territoire : une ville centre, une ville périphérique, et une ville rurale isolée.
Le premier territoire est donc un centre urbain, très bien doté en services bancaires et financiers. Les territoires alentours sont nombreux, mais moins bien équipés que le centre et en plus le nombre d’équipements présents dans ces territoires décroît au fur et à mesure que l’on s’éloigne du centre. Dans un premier radian, il y a 10 communes avec en moyenne 5 équipements et qui se situent à 3 km en moyenne. Dans le second radian, il y a encore 10 communes mais elles sont moins bien équipées, avec 2 services accessibles en moyenne, et plus lointaines, situées à 12 km en moyenne. On note également que les distances entre les territoires sont faibles, car la densité urbaine est plus importante.
Le second territoire est une ville urbaine mais située en périphérie, ce qui se traduit par un équipement moindre et équivalent à celui des territoires alentours du premier radian . Les territoires sont un peu plus éloignés et sont moins nombreux que pour le premier type, car on arrive plus rapidement en partant de la périphérie urbaine sur le péri-urbain qui est également moins bien équipé.

Figure 1 : Score pour les trois idéaux-types de territoire
Enfin, le troisième type de territoire est une commune rurale isolée qui n’a aucun équipement sur son territoire. Il y a peu de communes dans les alentours (5 dans chacun des radians), puisque les communes rurales ont une superficie plus grande, et sont plus éloignées. Ces communes alentour sont elles aussi peu équipées (0,2 et 1 service en moyenne par commune).
La figure 1 donne le score calculé pour chacun de nos territoires types. On voit bien la hiérarchie entre les trois territoires. La territoire urbain central obtient un ISIBF de 8,7, contre 5,13 pour le périphérique et 0,27 pour le rural isolé. Ces différences constatées offrent une première illustration de la sensibilié de l’indicateur aux caractéristiques du territoire.
5/ Une extension : la qualité des équipements
À partir de la définition de notre indicateur, nous pouvons proposer une extension qui prend en compte la qualité des équipements. Cette prise en compte s’appuie sur l’idée que la qualité d’un équipement bancaire ou financier est lié à son usage plus ou moins intensif. En d’autres termes, on peut supposer que la qualité des infrastructures bancaires et financières dépend de la congestion liée à son usage. En effet, pour un nombre donné d’équipements, plus il y a de personnes utilisant ces équipements, plus il sera long pour un individu d’y accéder.
Si nous considèrons que les horaires d’ouverture des établissements et leurs offres, comme par exemple le nombre de guichets à l'intérieur des agences bancaires, sont identiques entre les différents territoires, l’élément déterminant devient la population utilisant les équipements et services bancaires et financiers. Il est alors possible de prendre en compte une dimension qualitative dans notre indicateur en intégrant la population du territoire.
Deux manières de procéder sont alors possibles selon la population prise en compte dans le nouvel indicateur.
Premièrement, le nombre d’équipements dans un territoire (SBF_j) est maintenant divisé par la population du territoire (Pop_j) avant d’être intégré au calcul de l’indicateur.

Ici, l’hypothèse implicite est que la population utilise prioritairement les équipements de son territoire et que la congestion ne provient pas des populations des territoires voisins.
Une autre manière de faire est de diviser le nombre d’équipements par l’ensemble de la population à l’intérieur du radian défini. L’indicateur devient alors :

Dans ce cas, l’intégralité de la population résidant à l’intérieur du radian utilise potentiellement tous les équipements présents dans le radian. De plus, nous supposons que la population des territoires en périphérie du radian utilise tous les équipements situés à l’intérieur du radian.
Il nous apparaît que la première méthode nécessite un plus petit nombre d’hypothèses implicites que la seconde. Suivant la règle de parcimonie, nous préférons la première. Nous retenons donc l’indicateur défini dans l’équation plus haut pour la suite de la note.
6/ Les origines et utilisations de l’indicateur
L’indicateur que nous proposons est le résultat de différentes recherches sur la question de la mesure spatiale de l’offre d’équipements. La littérature concernant la mesure d’accès spatiale est assez large. Mais globalement, il existe deux approches modernes : 2SFCA et E2SFCA.

Pour la deuxième étape, on agrège pour obtenir la métrique pour le lieu i.

La métrique 2SFCA est facile à mettre en œuvre et elle capture bien la présence ou pas d’équipements. En revanche, elle ne tient pas compte des différences de distances dans l’accès aux différents sites. Dit autrement, tous les équipements ont le même poids sur l’indicateur malgré le fait qu’ils soient potentiellement situés à des distances différentes.
Pour tenir compte de la distance, on utilise le deuxième indicateur proposé par la littérature (E2SFCA), qui utilise une méthode différente.
Enhanced two-step floating catchment area (E2SFCA) est une métrique similaire qui tient compte de la distance comme explicité dans la formule suivante

où W(d_(i,j) ) est une fonction croissante en distance entre i et j. On note qu’ici et contrairement à notre indicateur, c’est sur la population que s’exerce l’effet de la distance, et non sur les équipements. Cela signifie que l’effet de congestion prend en compte le fait que l’usage d’un équipement par une population donnée diminue avec l’éloignement de la population, et non avec l’éloignement de l’équipement comme dans notre indicateur.
Ensuite, pour obtenir l’indicateur final, il suffit de sommer les mesures intermédiaires comme précédemment.
![]()
Au final, on peut remarquer que la définition de notre indicateur est différente des deux indicateurs développés dans la littérature que nous venons de présenter. Premièrement, nous considérons le nombre de services de manière non linéaire (nous utilisons comme forme fonctionnelle une transformation logarithmique de base 2). Deuxièmement nous ne normalisons pas par la population, quand 2SFCA et E2SFCA le font. Nous ne tenons pas compte de la population dans la version de base de notre métrique parce que nous avons pour but de capturer l’accès à l’offre. Sinon, les métriques restent identiques.
7/ Les propriétés théoriques de l’indicateur
Pour mieux comprendre notre indicateur et ses propriétés, nous détaillons ici ses évolutions théoriques en fonction de ses éléments constitutifs, avec une représentation graphique des relations entre les variations des composants et les évolutions de l’indicateur. Pour ce faire, nous proposons différentes simulations qui partent toutes d’une situation hypothétique (le point de départ dans la table 1).
Les caractéristiques de cette situation sont ensuite modifiées les unes après les autres. Le point de départ est simple: il s’agit d’un territoire avec 5 équipements, nous utilisons α=1,2, prenons en compte les territoires qui sont situés à moins de 20 km et nous supposons que leur distance moyenne est de 5 km. Pour simplifier l’analyse, nous ne tenons pas compte du nombre d’habitants dans chaque ville (elles sont donc toutes égales à 1).
Partant de cette situation initiale, nous faisons varier le nombre d’équipements dans le territoire étudié, le paramètre de distance α, la taille du radian et la distance moyenne des territoires compris dans le radian.

Tableau 1 : Données des simulations sur l’indicateur
De plus, nous intégrons également des variations dans les caractéristiques des territoires voisins. Nous supposons trois groupes de territoires selon leur appartenance aux trois seuils de distance γ égal à 10, 20 et 50 définis dans la Table 1 :
-
dans le premier radian (γ<10), il y a 10 territoires, caractérisés par une distance moyenne de 5 km et un nombre de services ∑SBF_j = 10 x 5
-
dans le deuxième radian (γ<20), il y a 30 territoires, caractérisés par une distance moyenne de 15 km et un nombre total de services ∑SBF_j = 30 x 5
-
dans le troisième radian (γ<50), il y a 90 territoires, caractérisés par une distance moyenne de 35 km et un nombre total de services ∑SBF_j = 90 x 5
On remarquera que nous ne faisons pas varier le nombre SBF_j par territoire que l’on fixe au même niveau, soit 5 par territoire. L’objectif est bien de visualiser les effets de l’incorporation progressive des territoires environnants, indépendamment de l’offre présente dans ces territoires.
Pour notre situation de référence (i.e. le point de départ), le ISIBF s’élève donc à :

7.1/ Évolutions de l’indicateur avec le nombre d’équipements
Premier élément que nous faisons varier : le nombre d’équipements dans le territoire étudié i. La Figure 2 décrit l’évolution du score d’accès, en faisant varier le nombre d’équipements dans i de 0 à 20.

Figure 2 : Évolution de l’indicateur avec le nombre d’équipements dans le territoire i
La Figure 2 montre bien que ISIBF s’accroît avec le nombre d’équipement dans le territoire considéré, toute chose égale par ailleurs. Elle montre également que l’ajout d’un équipement supplémentaire dans le territoire étudié a une incidence de plus en plus faible sur le score ISIBF de la ville. Par exemple, le fait de passer de 0 à 2 équipements est associé à un passage du score de 15,5 à 16,75. Le fait de passer de 18 à 20 équipements, i.e. une augmentation identique, est associé à un passage de 18,95 à 19,1.
7.2/ Évolutions de l’indicateur avec la distance
Pour appréhender les réactions du score avec la distance, nous faisons varier la distance moyenne des territoires proches, puis le paramétre α et enfin les deux paramètres ensembles.
La Figure 3 montre la réduction du score lorsqu’on augmente la distance moyenne des territoires inclus dans le calcul. Ce qui ressort bien graphiquement, c’est l’effet dépressif de l’augmentation de la distance sur le score, et le fait que cette réduction est de plus en plus faible. En effet, l’impact de la distance s’affaiblit avec son augmentation : les descentes de marche sont de plus en plus faible, traduisant ainsi l’idée que ce sont les premiers km qui ont plus de poids que les suivants sur l’accessibilité des services.

Figure 3 : Évolution de l’indicateur avec la distance d
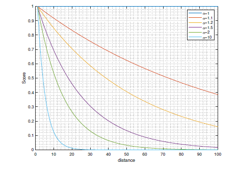
Si maintenant, on s’intéresse au paramétre α (Figure 4) qu’on fait varier seul, nous voyons que pour une même distance, l’augmentation de α pèse sur le score en le réduisant trés fortement. D’un α de 1 à un α de 1,5, le score a quasiment perdu les neuf dixièmes de sa valeur.

Figure 4 : Évolution de l’indicateur avec α
Enfin, la variation simultanée de la distance d et du paramétre α permet de bien comprendre l’influence de la distance et de sa prise en compte (Figure 5). D’une part, on observe bien que le score se réduit avec la distance ; toutes les courbes sont décroissantes quelle que soit la valeur de α. D’autre part, on observe bien que le choix du paramétre α pèse sur l’effet de la distance. Avec α=1 (la courbe en bleu la plus haute du graphique), la distance ne pèse logiquement pas sur le score. Au fur et à mesure que α augmente, le score est de plus en plus faible pour une même distance : la courbe se déplace vers le bas. De plus, et comme l’effet de la distance n’est pas linéaire, la courbe a une pente de plus en plus prononcée avec l’augmentation de α (elle devient de plus en plus verticale). Cela montre bien l’importance du choix de la valeur du paramétre α sur la prise en compte de la distance. Plus il est élevé, et plus la distance pèse fortement sur l’accès aux services.

Figure 5 : Évolution de l’indicateur avec simultanément α et la distance d
7.3/ Évolutions de l’indicateur avec le radian
Dernière évolution envisagée, les modifications du radian qui correspond au paramètre γ. Ce paramètre, défini dans la même unité que la distance, permet de délimiter les territoires voisins pris en compte dans le calcul de l’indice du territoire étudié.
La Figure 6 illustre l’incidence de la prise en compte de l’offre de services bancaires et financiers des territoires voisins sur le score. Cela montre également bien l’importance des territoires les plus proches. Avec le premier ensemble de territoire compris dans le radian γ<10, le score passe de 2 à plus de douze. Mais encore une fois, la prise en compte de nouveaux territoires plus éloignés a un effet sur le score qui est de plus en plus faible. Cela traduit l’idée que l’inclusion de nouveaux territoires dans le score --territoires qui sont de plus en plus éloignés et dont la distance d est de plus en plus grande et donc au final l’augmentation de γ-- a un impact sur le score de plus en plus faible.

Figure 6 : Évolution de l’indicateur avec le radian (γ)
Conclusion
Cette note propose donc l'application à l'accès aux équipements et services bancaires des indicateurs traditionnellement proposés pour les services médicaux. Bien évidemment, sa mise en oeuvre va dépendre des unités géographiques, ie des territoires, qui sont étudiées. Dans tous les cas, et compte tenu des hypothèses faites sur les populations et la localisation des équipements à l'intérieur des territoires, il apparait que l'indicateur gagne énormément en pertinence avec la réduction de la taille des territoires étudiés.
Ainsi, lors d'une utilisation pour d'autres types d'accès, comme par exemple l'accès aux commerce, il convient de chercher à utiliser les données disponibles sur les échelles territoriales les plus fines.
Références
Chen, B. Y., Cheng, X. P., Kwan, M. P., & Schwanen, T. (2020). Evaluating spatial accessibility to healthcare services under travel time uncertainty: A reliability-based floating catchment area approach. Journal of Transport Geography, 87, 102794. https://doi.org/10.1016/j.jtrangeo.2020.102794.
Chen, X., & Jia, P. (2019). A comparative analysis of accessibility measures by the two-step floating catchment area (2SFCA) method. International Journal of Geographical Information Science, 33(9), 1739–1758. https://doi.org/10.1080/13658816.2019.1591415.
Comité National des Moyens de Paiement (CNMP). (2024). Accès du public aux espèces: Actualisation de l’état des lieux à fin 2023. Banque de France.
Dai, D., & Wang, F. (2011). Geographic disparities in accessibility to food stores in southwest Mississippi. Environment and Planning B: Planning and Design, 38(4), 659–677. https://doi.org/10.1068/b36149.
Kocatepe, A., Ulak, M. B., Ozguven, E. E., Horner, M. W., & Arghandeh, R. (2017). Socioeconomic characteristics and crash injury exposure: A case study in Florida using two-step floating catchment area method. Applied Geography, 87, 207–221.
https://doi.org/10.1016/j.apgeog.2017.08.005.
Luo, J., Chen, G., Li, C., Xia, B., Sun, X., & Chen, S. (2018). Use of an E2SFCA method to measure and analyse spatial accessibility to medical services for elderly people in Wuhan, China. International Journal of Environmental Research and Public Health, 15(7), Article 1503. https://doi.org/10.3390/ijerph15071503.
Luo, W., & Wang, F. (2003). Measures of spatial accessibility to health care in a GIS environment: Synthesis and a case study in the Chicago region. Environment and Planning B: Planning and Design, 30(6), 865–884. https://doi.org/10.1068/b29120.
Ngamini Ngui, A., & Vanasse, A. (2012). Assessing spatial accessibility to mental health facilities in an urban environment. Spatial and Spatio-temporal Epidemiology, 3(3), 195–203. https://doi.org/10.1016/j.sste.2011.11.001.
Radke, J., & Mu, L. (2000). Spatial decompositions, modeling and mapping service regions to predict access to social programs. Geographic Information Sciences, 6(2), 105–112. https://doi.org/10.1080/10824000009480538.
Wan, N., Zou, B., & Sternberg, T. (2012). A three-step floating catchment area method for analyzing spatial access to health services. International Journal of Geographical Information Science, 26(6), 1073–1089. https://doi.org/10.1080/13658816.2011.624987.
Zhu, X., Tong, Z., Liu, X., Li, X., Lin, P., & Wang, T. (2018). An improved two-step floating catchment area method for evaluating spatial accessibility to urban emergency shelters. Sustainability, 10(7), 2180. https://doi.org/10.3390/su10072180.